全国服务热线:010-83131370 18910819962
-
-
美国SKC
-
美国TSI
-
-
-
美国SunRadon
-
美国MESALABS
-
英国赛纳斯
-
英国PPM
-
美国Medcom
品牌 -
-
-
-
-
相关新闻
龙行龘龘 !TSI®中国2024 授权分销商大会在京成功举办!
新岁序开,同赴新程。3月7日~8 日,TSI®中国在北京首钢园成功举办了2024 授权分销商大会。
采样解决方案--用于半导体晶片制造(Fab)的工作场所
空气中放射性氡的来源和测定方法
空气中放射性氡的来源和测定方法
一、背景知识
氡是一种无色无味的放射性气体,广泛存在于人类生活环境中。
氡是人类所受天然辐射照射的主要来源,约占天然辐射剂量的52%,
通常,氡指222Rn,是铀系226a的衰变产物,半衰期为3.82 d.。222Rn衰变会产生一系列新的放射性核素,称为氡子体,并释放出a、B和y射线。氡子体可分为短寿命子体和长寿命子体,有剂量学意义的是222Rn的短寿命子体。
环境中的氡气子体主要通过呼吸途径进入人体而产生辐射危害,作用机制为a粒子对肺部敏感细胞,产生辐射照射造成DNA遗传损伤,从而诱发肺癌的产生,其中氡的大部分辐射暴露来自吸入其短寿命子体。
室内氡的来源主要包括以下五个方面:
1.建筑物地基和周围土壤
2.建筑材料中析出的氡
3.家用燃料释放的氡
4.生活用水载带的氡
5.室外空气中进入室内的氡
其中房屋地基及周围土壤主要对三层以下建筑的室内有贡献。而建筑材料是多层和高层建筑室内氡主要来源。

健康影响
氡暴露是导致人体肺癌的一个重要原因,流行病学研究表明,氡浓度增加100 Bq/m3,公众的肺癌风险约增加16%。
室内氡是继吸烟后导致公众肺癌的第二大危险因素,约有3%-14%的肺癌由室内氡导致。研究表面吸烟者因氡导致的肺癌风险比非吸烟者高出25倍。
我国室内氡水平
根据1998年以来公开发表的文献报道获得了31个省(自治区、直辖市)64个城市的室内浓度样本量加权均值为48.9 Bg/m3(n=9587),范围为2-877.5 Bq/m3。较不同时期室内氡浓度数据调查分析,表明我国室内氢浓度呈现持续增长的趋势,
主要原因包括以下3个:
1.采用新型建材(粉煤灰、加气混凝土笔)
2.新的建筑结构和节能设计(墙体保温等)
3.新的生活方式(空调使用)等

二、检测方法
方法分类:
按照测量技术可以分为:脉冲电离室、静电收集法、α能谱法、γ能谱法、固体径迹法
按照采样方式分为:主动测量、被动测量
按照测量时间分为:累积测量、瞬时测量、连续测量
瞬时测量得到的是某一时刻的氡浓度,而累积测量得到的是一段时间的平均氡浓度,连续测量反映不同时间的氡浓度变化。
GB_T 18883-2022标准修订后的检验方法与原标准相比,保留了固体核径迹蚀刻法和活性炭盒法,删除了闪烁瓶法和双滤膜法,增加了静电收集法(1028XP),静电收集法仪器灵敏度高,便携操作方便,仪器耐用,成本低。
GB_T 18883-2022现行标准方法:
1.固体核径迹测量方法
2.连续测量方法:闪烁室、脉冲电离室、静电收集法
3.活性炭盒测量方法
静电收集法测量步骤
- 静电收集法原理
经滤膜进入收集室的氡气衰变产生带正电荷的氡子体。在探测器与收集室之间加负高压,在外加电场作用下,带正电荷的氡子体被吸附到探测器表面,这些子体进一步衰变发射α粒子,由探测器测量并记录。根据刻度系数确定氡浓度。
- 仪器和设备
静电收集型测氡仪,型号:1028XP
- 分析步骤
使用前按使用手册要求对仪器或系统进行检查,电池电压、各种参数、测量模式、时间间隔等应符合测量要求;仪器的本底和稳定性应与检定时一致。连续测量一般为短期测量,季节和通风状况会对测量结果产生影响,必要时需要密闭场所进行测量,测量点的选择见GB_T 18883-2022 A.2。将仪器放置到选定的测量位置,按操作程序进行测量和记录。有些仪器需要1h~4h的稳定时间,测量时间至少为24h连续测量。测量结束应对现场进行检查,记录可能影响测量结果的因素及与实验条件不符的情况。取仪器稳定后测量值的算术平均值作为该点的测量结果。
- 结果计算
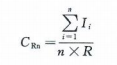
室内空气中氡浓度按式(H.2)计算。
……………………(H.2)
式中:
CRn——氡浓度平均值,单位为贝可每立方米(Bq/m²);
Ii —第i次测量值,i=1,2,3,…,n,单位为贝可每立方米(Bq/m³);
n ——测量次数;
R ——仪器的体积活度响应,无量纲。
友情链接: 水质检测仪 空气质量检测仪 微生物检测仪 噪声检测仪 甲醛检测仪 紫外线老化试验箱 噪声检测仪 甲醛检测仪 紫外线老化试验箱
宝云服务号